代謝溶脂點滴(俗稱)並不是「點了就瘦」,而是透過特定Amino Acid或Choline複方,強化脂肪動員/代謝,需先判斷內臟脂肪還是體重數字是主要目標。
常見兩條代謝路徑:Carnitine系列續航溶脂、PC系列鎖定腰內脂肪並護肝;兩者起效時間、與肝酵素負荷不同,須依血液數據與生活節奏客製。
體脂肪的風險
體脂肪是總量,皮下脂肪是外觀,內臟脂肪才是關鍵風險來源。
臨床研究顯示,內臟脂肪與代謝症候群、胰島素阻抗、第二型糖尿病、高血壓、脂肪肝與心血管疾病密切相關。
體脂管理的目標,不只是減重,而是降低內臟脂肪比例、維持皮下脂肪在健康範圍。
內臟脂肪甚至被視為「隱形器官毒素」,可誘發低度慢性發炎,導致動脈粥樣硬化與心肌梗塞風險上升。
皮下脂肪主要堆積於皮膚與肌肉之間,集中於腹部或大腿,並合併體脂率偏高、活動力下降。
根據目的適用哪一種方案
長期忽視內臟脂肪堆積與肝臟代謝負擔,可能導致脂肪肝惡化、代謝症候群甚至增加心血管疾病風險,皮下脂肪身體代謝速率低、容易疲倦、運動後恢復慢等狀況未改善,可能是能量系統失衡、粒線體功能退化的早期警訊,並非單純「養生保健」,而是為了防止代謝崩壞、疾病惡化所作的精準介入。
選擇 PC溶脂點滴(俗稱)或 Carnitine+Vitamin B Complex代謝溶脂點滴(俗稱),根據個人體質與代謝目標做專業評估。
Carnitine+Vitamin B Complex代謝溶脂點滴(俗稱)透過促進脂肪乳化與肝臟代謝,適合內臟脂肪過多、脂肪肝或塑型需求者;PC溶脂點滴(俗稱)則加強能量代謝與抗疲勞,適合代謝緩慢、易倦或運動不足者。
PC溶脂點滴(俗稱) | Carnitine+Vitamin B Complex代謝溶脂點滴(俗稱) | |
目的 | 加強脂肪代謝、溶脂、內臟脂肪改善、肝臟代謝支持、FMI值改善、體態塑形 | 提升能量代謝率、抗疲勞、日常活動量表現、燃脂效率、BMI值改善 |
作用 | 乳化脂質、促進脂肪分解與排出、協助肝膽代謝、TGR5 路徑 | 改善代謝率、運送脂肪進入粒線體、強化能量轉換、長時間輸送游離脂肪酸 |
適合群組 | 中央型肥胖、脂肪肝、高油飲食者、水腫體質者 | 代謝緩慢、容易疲倦、不常運動、熬夜壓力族群 |
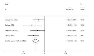
臨床實驗 | 專用品點滴補充劑對腰圍 (WC) 影響的森林圖,詳細說明了 ES 和 95% CI顯著的對腰圍的應對。 | 試驗使用此項結果來報告其研究發現。我們的分析顯示,使用專用品點滴可使 BMI 顯著低於接受對照處置的受試者(平均差:-0.47 kg/m²;95% 信賴區間:-0.88 至 -0.05),異質性為 I² = 93%。 |
⚠️貼心提醒:若同時想瘦體重又顧內臟脂肪,兩條路徑不可同時高劑量並行,以免代謝器官超載。
配方機制與週期
兩者雖同屬於代謝型點滴(俗稱),但其作用機轉與適應症不同,劑量與頻率若抓得太激進,可能出現噁心、暈眩或 ALT 暫時升高;以「低劑量起步」+「一週回診」模式,安全拉升燃脂速度。
建議於施打前由專業醫師根據臨床評估與身體組成分析,量身選擇適合的療程,以達到最佳代謝平衡與體組成調整的效果。
點滴(俗稱)方案 | 主要成分 | 連續週期 | 推薦間隔 | 目的體感 |
Carnitine+Vitamin B Complex代謝溶脂點滴(俗稱) | L-Carnitine、B12 | 2-4週 | 每週1次*3週 | 出汗量↑、體重微降 |
PC溶脂點滴(俗稱) | Phosphatidylcholine、Deoxycholic acid | 3-6週 | 每二週1次*4 | 腰圍縮小、糞便油脂感 |
與所有其他治療組相比,未使用 專用品 的單純運動組血清乳酸和肌紅蛋白濃度較高,在運動中,這兩個參數都隨著 專用品 的增加而下降,這表明這些影響存在劑量反應關係。研究數據已被證明可以減少乳酸的產生並提高運動表現,疲勞感減輕,肌紅蛋白血漿濃度降低。乳酸和肌紅蛋白(它們是運動後肌肉恢復的標記)均透過 專用品 以劑量依賴性方式得到改善。
資料來源:PMC7284330(Received 2020 Apr 27)
研究數據中顯示,使用過 專用品 後與未使用相比,在應對體重、BMI等最為顯著。研究中表明使用 專用品 後透過運動數據觀察,可增加能量消耗,進而影響葡萄糖和脂質代謝,達到減肥的目的,再研究結果顯示 專用品 有顯著的協同效應。
資料來源:PMC7284330(Received 2020 Apr 27)
評估指標
選擇哪一款點滴,不應僅依「胖或瘦」來判斷,而需透過三高指數、運動狀況與體組成指標,進行綜合評估。建議可搭配體脂機與年度健康檢查報告,並諮詢專業醫師進一步解讀,以制定個人化代謝療程。
評估指標 | PC溶脂點滴(俗稱) | Carnitine+Vitamin B Complex代謝溶脂點滴(俗稱) |
局部肥胖 | ⎷男性:腰圍≧90公分(35吋) ⎷ 女性:腰圍≧80公分(30吋)三高 | |
三高 | ⎷ 血脂偏高 ⎷ 血糖偏高 空腹血漿葡萄糖≧100mg/dl或已服用糖尿病治療藥物 ⎷ 血壓偏高 收縮壓≧130mmHg、舒張壓≧80mmHg或已服用高血壓治療藥物 | ⎷ 單純疲倦、無三高病史 |
肝腎功能 | ⎷ ALT/AST 上升 | ⎷ eGFR > 60 |
生活節奏 | ⎷ 久坐不動 | ⎷ 規律運動但感到疲倦 ⎷ 肌肉痠痛恢復慢 |
BMI(身體質量指數) BMI = 體重(kg)÷身高²(m²) | ⎷ 過重:24 ≦ BMI < 27 ⎷ 輕度肥胖:27 ≦ BMI < 30 ⎷ 中度肥胖:30 ≦ BMI < 35 ⎷ 重度肥胖:BMI ≧ 35 | |
FMI(體脂肪率) FMI = 體脂肪(kg)÷身高²(m²) | ⎷ 女性肥胖定義:體脂率 > 30% ⎷ 男性肥胖定義:體脂率 > 25% |
⚠️貼心提醒:這些數據決定配方比例與滴速。例如:夜班族更易胰島素阻抗,我們會將 Carnitine 劑量往上調,同步建議 BCAA 補充,避免肌肉量流失。
風險與『怕胖不怕講』小提醒
雖然 PC溶脂點滴(俗稱)與 Carnitine+Vitamin B Complex代謝溶脂點滴(俗稱)屬於代謝輔助型療程,臨床上多數人耐受性良好,但仍需重視 個人體質、劑量設定與施打過程 等細節。若未經正確評估或未配合適當生活習慣,仍可能引發暫時性不適或生理反應。
以下為常見風險提醒:
分類 | 可能副作用 | 醫學說明 |
劑量/位置 校準不當 | 局部紅腫、硬塊、脂肪代謝過快導致噁心或腸蠕動感增加 | 若注入過深或過淺、劑量未個別調整,可能造成脂肪組織應激性反應。 |
肝功能基值 偏高者 | ALT暫時升高、輕度疲倦感 | 肝功能異常者在初期代謝負荷會增加,建議施打前確認肝酵素指標。 |
缺水狀態施打 | 暫時性低血壓、暈眩、頭重腳輕 | 代謝活化加速後,若水分不足,可能引起血流量不足與血壓暫降,建議療程前後適當補水。 |
B群相關反應 | 尿液鮮黃、短暫金屬味、刺癢感 | 屬正常代謝現象,特別與B2(核黃素)與B12(氰鈷胺)代謝有關。 |
過敏或不耐反應 | 皮膚紅疹、癢感、呼吸不適(罕見) | 若對成分敏感,需即時停用並就醫。 |
⚠️貼心提醒:
建議療程前應先評估:AST/ALT、eGFR、血壓與體液狀態,若有慢性病病史、常服藥、代謝症候群,務必由醫師個別調整點滴配方與劑量。
療程前後攝取足夠水分(建議500–800ml),並避免空腹施打,可減少不適發生。
預測效果與追蹤
PC溶脂點滴(俗稱)、Carnitine+Vitamin B Complex代謝溶脂點滴(俗稱),主要透過刺激脂肪動員、增強肝臟與粒線體代謝,進一步促進脂肪氧化與體脂減少。 根據臨床觀察與多項研究統整,在規律施打與配合飲食運動調整的情況下,於 4–12 週可觀察到以下趨勢性變化:
時間階段 | 項目改善 | 預期變化幅度 | 醫學說明 |
第 4–6 週 | 體重 | 減少↓ 約 2–4 公斤 | 促進脂肪酸 β-氧化,可局部加速脂解,合併運動時效果更佳。 |
第 4–6 週 | 腰圍 | 縮減↓ 約 2–4 公分 | 特別在腹部脂肪集中者,局部注射 效果更顯著。 |
第 8–12 週 | 體脂率 | 下降↓ 約 3–5% | 長期使用可增強基礎代謝,改善體脂分布。 |
第 8–12 週 | 內臟脂肪等級 | 降低↓ 1 級以上 (如從等級 10→9) | 特別針對高 BMI、高肝酵素者,可有效降低肝臟與腹腔脂肪堆積。 |
第 8–12 週 | 能量代謝指標 | 活力提升、疲勞感改善 | 強化能量釋放。 |
⚠️貼心提醒:
效果變化會因個體的起始體脂量、肝腎代謝功能、生活習慣(如運動頻率、飲食控制) 而有所不同。
對於有三高(高血壓、高血脂、高血糖)或脂肪肝風險者,點滴療程除了體態改善,亦有潛在的代謝指標優化作用。
核磁共振影像顯示,經代謝療程後,腹部皮下脂肪層有明顯減少趨勢,且可持續至治療後 8 週。
不論年齡差異,顯示該療程在局部脂肪代謝與組織結構重塑方面點滴或局部代謝注射療法對腹部塑形的潛在效果,具有實證臨床成效參考價值。
在多個隨機臨床試驗中,專用品的使用顯示總脂肪、BMI 降低,改善肥胖相關代謝指標,每4週一次,共4次注射;結果顯示脂肪顯著應對。
資料來源:PMC3667691(Accepted 2012 Dec 11) ISSN:2155-9554( (2012) Volume 3, Issue 2)
居家照護建議
雖然屬於非侵入性療程,但療程後的日常照護與配合,將直接影響療效發揮與副作用風險。
點滴療程後的重要三點:
- 補充水份:每日2~2.5 L協助代謝脂肪酸。
- 蛋白質:每日15~25g維持肌肉,攝取不足可能會連帶使用肌肉蛋白作為能量來源,導致基礎代謝下降。
- 適度運動:每週至少2 次,每次30 分鐘。Carnitine 系列在有氧時表現最佳。
問答Q&A
Q1. 兩款點滴主要差異是什麼?
PC溶脂點滴(俗稱)著重「溶脂+肝代謝」,Carnitine+Vitamin B Complex代謝溶脂點滴(俗稱)則是「能量代謝+抗疲勞」。
Q2. 打完會立刻瘦嗎?
減脂點滴不是「靜靜點、脂肪就走」,而是與您體質同步調整的「代謝節奏器」。透過完整評估、個人方案與醫護雙方監控,數週內會看到體態與數據改變。
Q3. 建議多久施打一次?
按照醫師評估後方案療程進行施打,建議避免延期施打恐會使效果降低。
Q4.打點滴後可以馬上吃東西嗎?
可以的。建議施打後1~2小時內補充蛋白、水分,有助代謝與修護。
Q5.需要控制飲食嗎?
正確的點滴使用避免合併飲食控制,因為使用飲食控制往往要減重的人很難堅持下去,甚至想要減輕內臟脂肪的人也堅持不下去,我們強調「點滴先到位、飲食隨性」,創造足夠熱量赤字,不必糾結秤食物。
Q6.會建議外食族做飲食調整嗎?
不建議。
一、都會餐點多油鹽,臨時改菜單易失敗
二、社交飯局難推辭,破戒感易棄療
三、嚴格限醣抑制血清素,情緒波動易導致暴食反撲
Q7.想要一次到達理想體態,可以直接打高劑量嗎?
不建議。
醫生評估後方案。會先以低劑量連續兩週做適應測試,並觀察胰島素敏感度與腰圍曲線,若脂肪動員良好,即維持現有飲食,只加強水份與蛋白質得補充。這種「點滴主攻、飲食陪跑」策略才是上策。
⚠️貼心提醒:本診所均由醫師視個人情況診斷,本宣名稱係口語化供民眾理解,僅供參考;正式名稱、效果及使用方法、注意事項等,均以醫師親自說明為準。
